Trusted by Students Everywhere
Why Choose Us?
0% AI Guarantee
Human-written only.
24/7 Support
Anytime, anywhere.
Plagiarism Free
100% Original.
Expert Tutors
Masters & PhDs.
100% Confidential
Your privacy matters.
On-Time Delivery
Never miss a deadline.
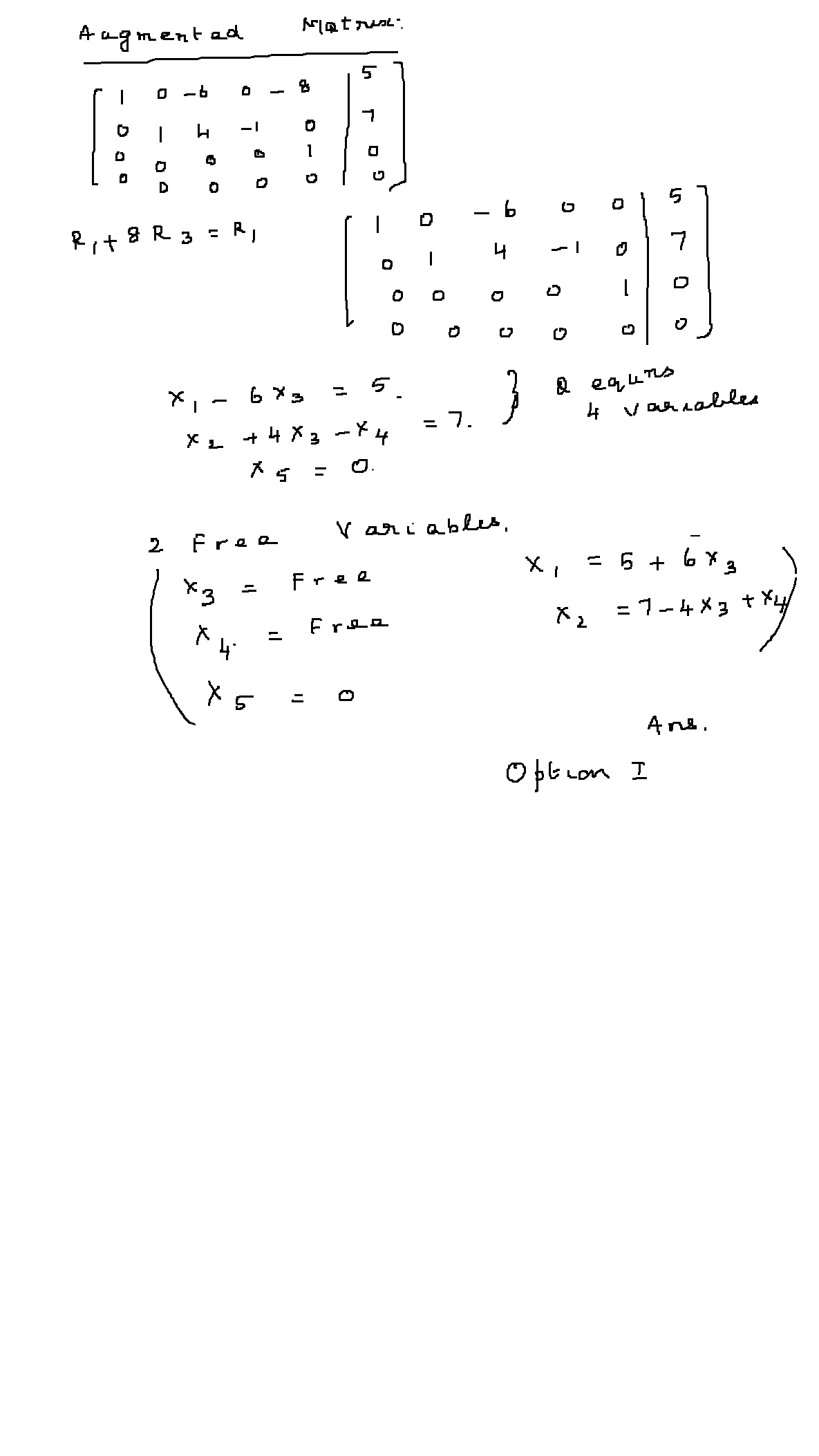
Find the general solution of the system whose augmented matrix is given below
Find the general solution of the system whose augmented matrix is given below. [1 0 0 0 0 1 0 0 -6 4 0 0 0 -1 0 0 6 7 0 0] Select the correct choice below and. if necessary, fill in any answer boxes to complete your answer.
Expert Solution
please see the attached file
Archived Solution
Unlocked Solution
You have full access to this solution. To save a copy with all formatting and attachments, use the button below.
Already a member? Sign In
Important Note:
This solution is from our archive and has been purchased by others. Submitting it as-is may trigger plagiarism detection. Use it for reference only.
For ready-to-submit work, please order a fresh solution below.
For ready-to-submit work, please order a fresh solution below.
Or get 100% fresh solution
Get Custom Quote





