Why Choose Us?
0% AI Guarantee
Human-written only.
24/7 Support
Anytime, anywhere.
Plagiarism Free
100% Original.
Expert Tutors
Masters & PhDs.
100% Confidential
Your privacy matters.
On-Time Delivery
Never miss a deadline.
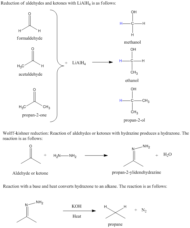
The carbonyl group of an aldehyde or ketone may be reduced via several different methods
The carbonyl group of an aldehyde or ketone may be reduced via several different methods. Select all viable methods for aldehyde/ketone reduction. Na2Cr2O7 and H2SO4 Wolff-Kishner method Baeyer-Villiger method NH3, H2, and Raney Ni 1) LiAIH4, 2) H20 Clemmensen method KMnO4 and H2SO4 Of the reduction methods, which one would be best performed under acidic conditions? Clemmensen method Na2Cr2O7 and H2SO4 NH3, H2, and Raney Ni KMnO4 and H2SO4 Baeyer-Villiger method Wolff-Kishner method LiAIH4, 2) H20
Expert Solution
please see the attached file
Archived Solution
You have full access to this solution. To save a copy with all formatting and attachments, use the button below.
For ready-to-submit work, please order a fresh solution below.





