Why Choose Us?
0% AI Guarantee
Human-written only.
24/7 Support
Anytime, anywhere.
Plagiarism Free
100% Original.
Expert Tutors
Masters & PhDs.
100% Confidential
Your privacy matters.
On-Time Delivery
Never miss a deadline.
A few questions here)The center of mass of a 0
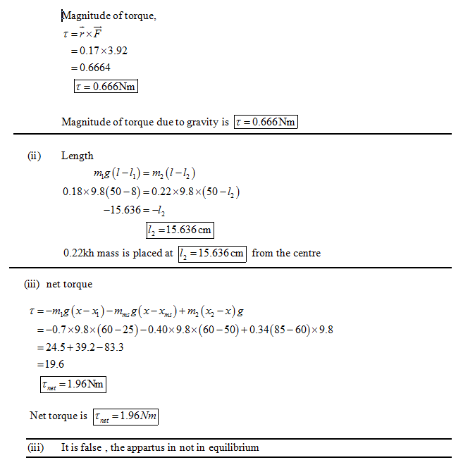
A few questions here)The center of mass of a 0.40 kg (non-uniform) meter stick is located at its 47-cm mark. What is the magnitude of the torque (in N?m) due to gravity if it is supported at the 30-cm mark? (Use g = 9.79 m/s2).
Suppose that a meter stick is balanced at its center. A 0.18 kg mass is then positioned at the 8-cm mark. At what cm mark must a 0.22 kg mass be placed to balance the 0.18 kg mass?
Given the situation in the figure. The mass m1 is 0.70 kg and it is located at x1 = 25 cm. The pivot point is represented by the solid triangle located at x = 60 cm. The mass of the meter stick (mms = 0.40 kg) is located at its geometric center, xms = 50 cm. The mass m2 is 0.34 kg and it is located at x2 = 85 cm. Calculate the net torque about the pivot (in N?m with the proper sign) due to these three weights. Use g = 9.79 m/s2. Do not include units with the answer.
True/Fale -- The apparatus described in the previous question is in equilibrium.
0 10 20 30 40 50 60 70 80 90 100 m2 ms
Expert Solution
please see the attached file
Archived Solution
You have full access to this solution. To save a copy with all formatting and attachments, use the button below.
For ready-to-submit work, please order a fresh solution below.





