Why Choose Us?
0% AI Guarantee
Human-written only.
24/7 Support
Anytime, anywhere.
Plagiarism Free
100% Original.
Expert Tutors
Masters & PhDs.
100% Confidential
Your privacy matters.
On-Time Delivery
Never miss a deadline.
You have the exclusive rights to undertake a project that will produce in a year a pre-tax cashflow of $90,000 if the economy is bad or $130,000 if the economy is good
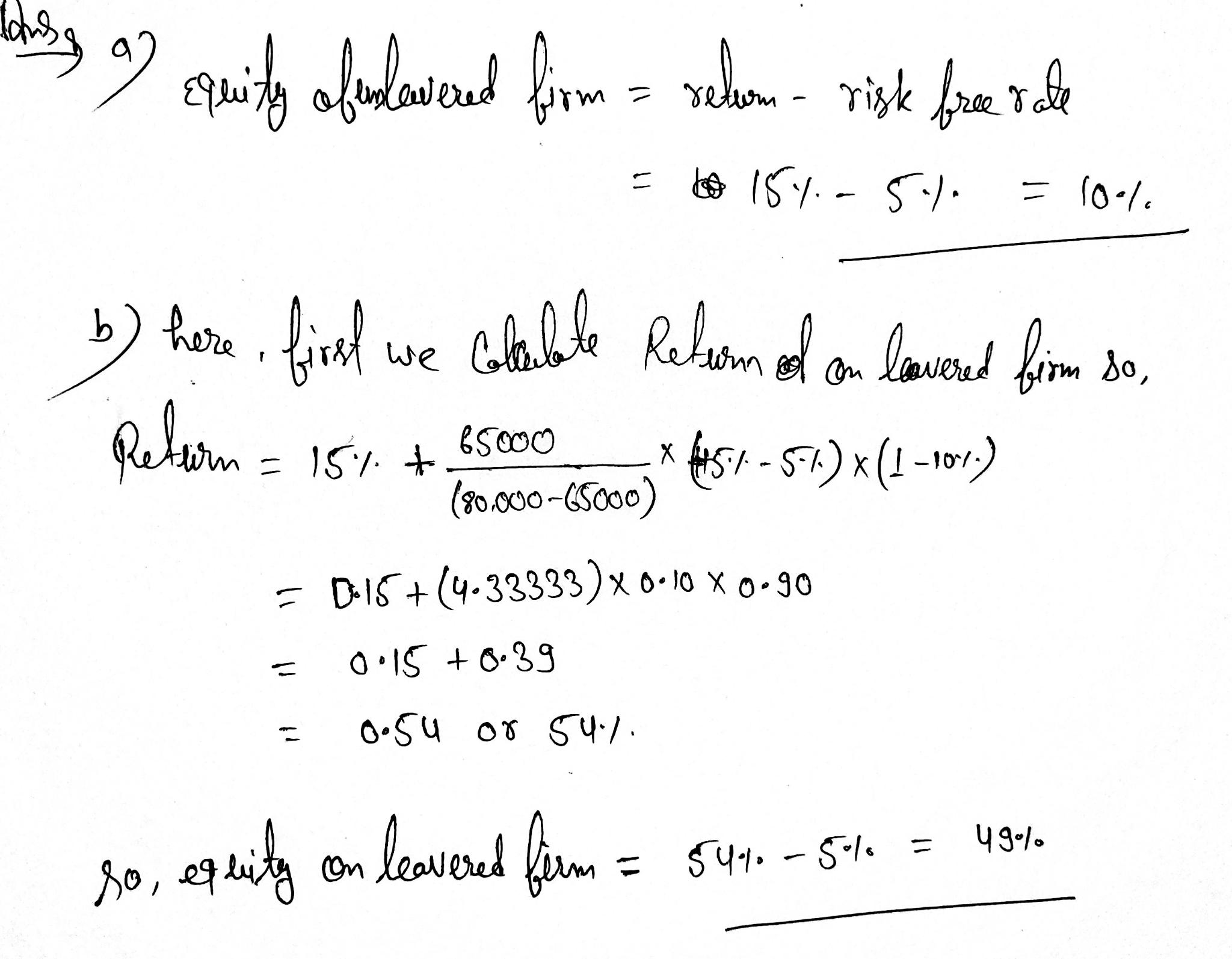
You have the exclusive rights to undertake a project that will produce in a year a pre-tax cashflow of $90,000 if the economy is bad or $130,000 if the economy is good. Both outcomes are equally likely. The project has a one-year life. The project requires an initial cash outlay of $80,000 but you have no money. The project's expected unlevered return on equity is 15% while the risk-free rate is 5%. You are considering investing in the project and you are evaluating two different funding alternatives. The first option is to raise the entire $80,000 issuing equity, while the second alternative is to raise $65,000 as debt and use equity to finance the rest. The corporate tax rate is 10%. There is no depreciation.
a) What is the percentage of the equity you would retain if you chose the unlevered option?
b) What is the percentage of the equity you would retain if you chose the levered option?
Expert Solution
Please see the attached file
Archived Solution
You have full access to this solution. To save a copy with all formatting and attachments, use the button below.
For ready-to-submit work, please order a fresh solution below.





