Trusted by Students Everywhere
Why Choose Us?
0% AI Guarantee
Human-written only.
24/7 Support
Anytime, anywhere.
Plagiarism Free
100% Original.
Expert Tutors
Masters & PhDs.
100% Confidential
Your privacy matters.
On-Time Delivery
Never miss a deadline.
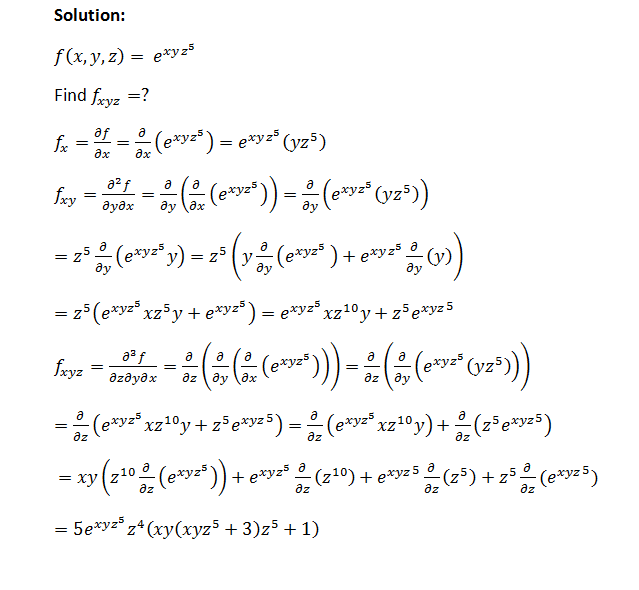
Find the indicated partial derivative
Find the indicated partial derivative. f(x,y,z)=e^xyz^5; fxyz fxyz(X, Y, Z) =
Expert Solution
please see the attached file
Archived Solution
Unlocked Solution
You have full access to this solution. To save a copy with all formatting and attachments, use the button below.
Already a member? Sign In
Important Note:
This solution is from our archive and has been purchased by others. Submitting it as-is may trigger plagiarism detection. Use it for reference only.
For ready-to-submit work, please order a fresh solution below.
For ready-to-submit work, please order a fresh solution below.
Or get 100% fresh solution
Get Custom Quote





