Trusted by Students Everywhere
Why Choose Us?
0% AI Guarantee
Human-written only.
24/7 Support
Anytime, anywhere.
Plagiarism Free
100% Original.
Expert Tutors
Masters & PhDs.
100% Confidential
Your privacy matters.
On-Time Delivery
Never miss a deadline.
Suppose the market of food delivering services is a competitive market
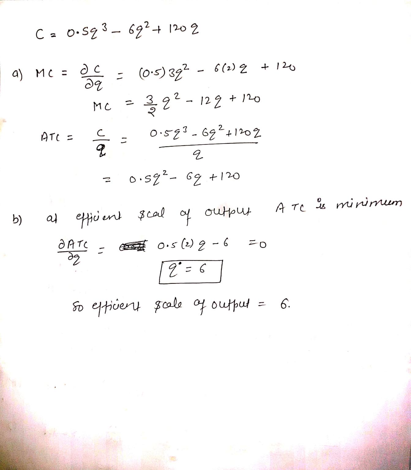
Suppose the market of food delivering services is a competitive market. A typical food delivering firm in the market has a total cost function of?=0.5?3−6?2+120?
.a.Find MC and ATC functions of a typical food delivering firm.(3 marks)
b.Use the results in (a) to find the efficient scale of output.(
Expert Solution
please see the attached file.
Archived Solution
Unlocked Solution
You have full access to this solution. To save a copy with all formatting and attachments, use the button below.
Already a member? Sign In
Important Note:
This solution is from our archive and has been purchased by others. Submitting it as-is may trigger plagiarism detection. Use it for reference only.
For ready-to-submit work, please order a fresh solution below.
For ready-to-submit work, please order a fresh solution below.
Or get 100% fresh solution
Get Custom Quote





